Junxi QU bio photo

Email

Github

Behrer, A.P., Bolotnyy, V. Understanding the migratory response to hurricanes and tropical storms in the USA. Nat Hum Behav

Objective:

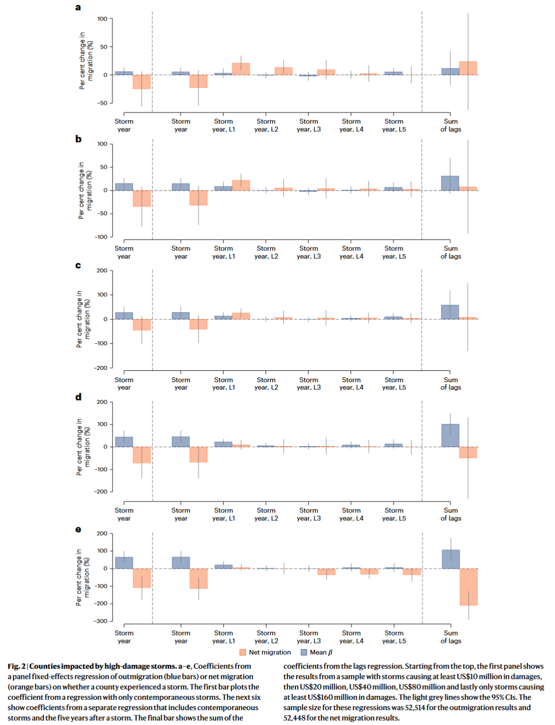
  • Use data on the paths of all Atlantic basin hurricans and tropical storms between 1992 and 2017 to study the migratory response to these storms

Case:

  • USA

Methodology:

  • Regression

Data Source

  • County-to-county migrant
  • Storms from FEMA

Findings:

  • Total population-weighted exposure to storms increases
  • Counties with high economic activity see net in-migration after a storm

Coding Reference: