Junxi QU bio photo

Email

Github

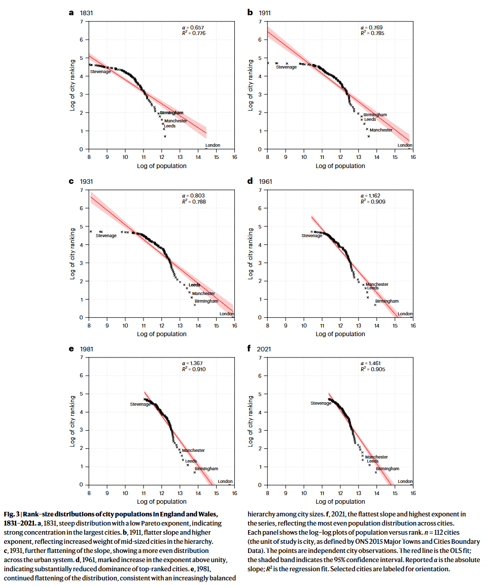
Chen, Z., Litvine, A. & Shaw-Taylor, L. Railways and urban scaling in England and Wales over 190 years of development. Nat Cities

Objective:

  • Analyse nearly two centuries of railway development and population change

Case:

  • England and Wales

Methodology:

  • Scaling law, Accessibility and Gini
  • OLS

Data Source

  • Railway map and population

Findings:

  • Rail provision and accessibility became more proportionally aligned with population size

Coding Reference:

  • Not Applicable