Junxi QU bio photo

Email

Github

Zhou, Y., Lu, Y. Varying relationships between experienced income segregation and travel behaviour across neighbourhood social and urban contexts. Nat Commun

Objective:

  • Leverage a large-scale, neighbourhood-level mobility dataset from the contiguous United States to quantify experienced segregation in activity sites and compare it with residential segregation across neighbourhoods with different social and urban contexts

Case:

  • US CBG

Methodology:

  • Dissimilarity index
  • Income segregation

Data Source

  • ACS, POI
  • SafeGraph

Findings:

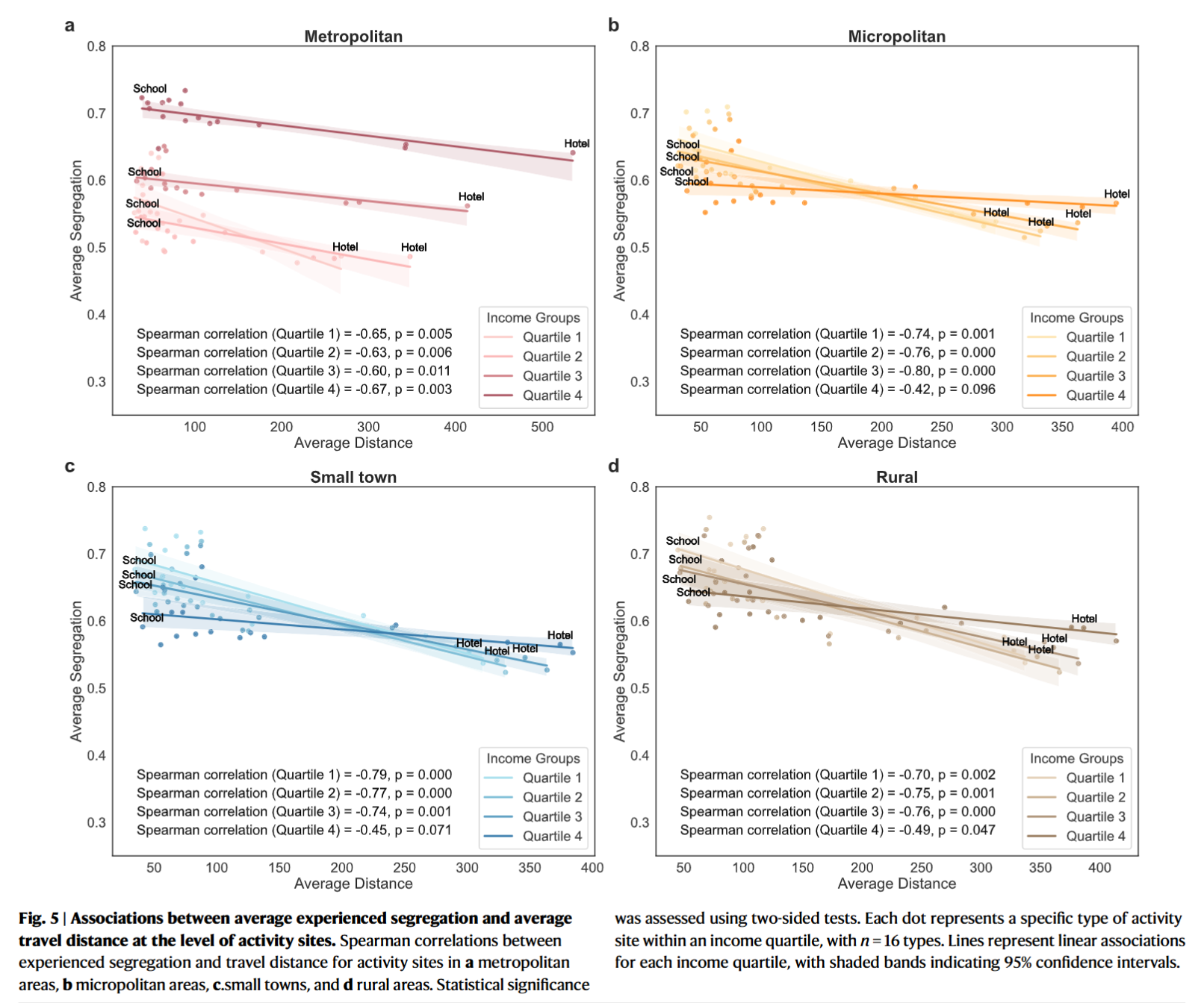
  • Longer travel distance and more diverse destinations are associated with less experienced segregation for least affluent neighbourhoods

Coding Reference:

  • Not Available